Pengertian, Fungsi, Macam-macam Jenis dan Prinsip Cara Kerja Transformator (Trafo) Step Up dan Step Down
Januari 10, 2016
Edit
Berikut ini merupakan pembahasan tentang pengertian trafo, macam macam transformator, pengertian transformator, ciri ciri transformator step up, ciri ciri transformator step down, transformator listrik, fungsi transformator, fungsi trafo, ciri ciri transformator step up, transformator step down, cara kerja transformator, prinsip kerja transformator, macam-macam transformator, jenis jenis transformator, ciri ciri trafo step up.
Kumparan yang dihubungkan dengan arus yang hendak diubah tegangannya disebut kumparan primer, sedangkan kumparan yang dihubungkan dengan tegangan baru disebut kumparan sekunder.
Pada transformaror step up jumlah lilitan kumparan primernya lebih sedikit dibanding lilitan pada kumparan sekunder. Sedangkan pada transformator step down jumlah lilitan pada kumparan primer lebih banyak dibanding pada kumparan sekunder.
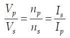
Pada transformator berlaku hubungan jumlah lilitan dan tegangan sesuai persamaan:
Pada transformator juga berlaku hukum kekekalan energi. Jika energi yang masuk persatuan waktu adalah VpIp dan energi yang keluar adalah VsIs maka diperoleh
Dengan:
Vp = tegangan primer
Vs = tegangan sekunder
np = jumlah lilitan primer
ns = jumlah lilitan sekunder
Ip = arus primer
Is = arus sekunder
Pengertian Transformator (Trafo)
Selain generator, prinsip induksi elektromagnetik digunakan dalam transformator atau trafo.Tranformator adalah alat yang digunakan untuk mengubah tegangan. Transformator yang mengubah tegangan rendah menjadi tegangan tinggi disebut transformator step up, sedangkan yang bekerja sebaliknya yaitu mengubah tegangan tinggi menjadi tegangan rendah disebu transformator step down.
Prinsip dan Cara Kerja Transformator
Alat ini mempunyai inti besi yang tak berujung pangkal dan terdiri dari beberapa lapis tipis yang disekat satu sama lain. Pada inti besi terdapat dua kumparan.Kumparan yang dihubungkan dengan arus yang hendak diubah tegangannya disebut kumparan primer, sedangkan kumparan yang dihubungkan dengan tegangan baru disebut kumparan sekunder.
| Gambar: Transformator |
Pada transformaror step up jumlah lilitan kumparan primernya lebih sedikit dibanding lilitan pada kumparan sekunder. Sedangkan pada transformator step down jumlah lilitan pada kumparan primer lebih banyak dibanding pada kumparan sekunder.
Pada transformator berlaku hubungan jumlah lilitan dan tegangan sesuai persamaan:
Pada transformator juga berlaku hukum kekekalan energi. Jika energi yang masuk persatuan waktu adalah VpIp dan energi yang keluar adalah VsIs maka diperoleh
VpIp = VsIsSehingga pada transformator ideal berlaku
Dengan:
Vp = tegangan primer
Vs = tegangan sekunder
np = jumlah lilitan primer
ns = jumlah lilitan sekunder
Ip = arus primer
Is = arus sekunder